Thời điểm 15h39 ngày 28/6, mặc dù đang trong thời gian làm bài thi môn Toán tốt nghiệp THPT, tuy nhiên trên mạng xã hội đã lan truyền thông tin nghi vấn lộ đề thi môn Toán.
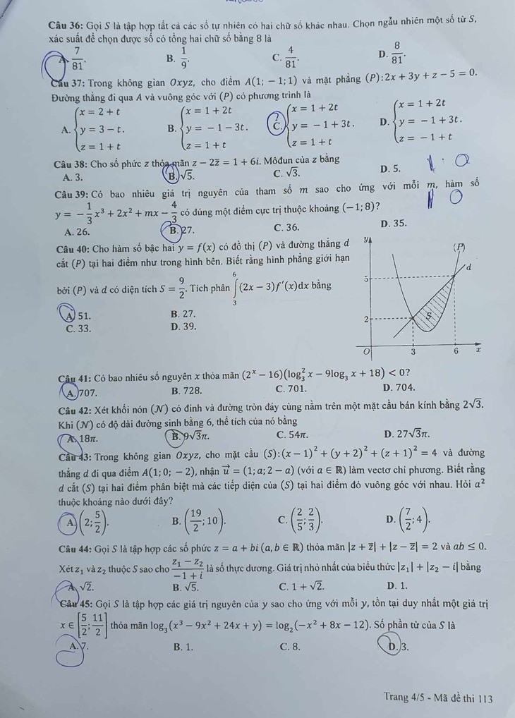
Cụ thể, hình ảnh đề thi bị lộ có mã đề 113, từ câu 41 đến câu 45. Đối chiếu với mã đề 113 chính thức từ Bộ Giáo dục và Đào tạo hoàn toàn trùng khớp với hình ảnh đề thi được cho là bị lộ.
![]() |
| Đề thi Toán chính thức từ Bộ Giáo dục và Đào tạo |
Hình ảnh đề thi nghi bị lộ còn cho thấy chữ ký và tên của cán bộ coi thi 2 trên phần tờ giấy làm bài thi.
Đại diện Sở Giáo dục và Đào tạo Hà Nội khẳng định, tới thời điểm 16h ngày 28/6, Hà Nội không có trường hợp lọt đề.
Theo thông tin từ Bộ Giáo dục và Đào tạo cho biết, đã nhận được thông tin nghi lộ đề Toán. Bộ cũng đã báo cáo lãnh đạo Bộ, báo cáo Ban chỉ đạo thi và Cục An ninh chính trị nội bộ (A03 - Bộ Công an) cũng đang vào cuộc để xác mình, tìm hiểu về thông tin lộ đề thi.
Ông Huỳnh Văn Chương, Cục trưởng Cục Quản lý chất lượng (Bộ Giáo dục và Đào tạo) cũng cho hay công an đã nắm được phản ánh về khả năng lộ đề toán và đang cho xác minh.
Sáng nay, nghi vấn lộ đề thi môn Văn cũng đã xảy ra. Đề thi tốt nghiệp THPT môn Văn năm 2023 được lan truyền trên mạng xã hội khá sớm so với thời gian hết giờ làm bài của thí sinh. Bối cảnh của bức ảnh chụp đề thi bên cạnh là tờ giấy thi và lịch thi tốt nghiệp THPT.
Nhiều người thắc mắc liệu như thế này có phải là đề thi đã bị lộ, tức đề thi được phát tán khi đã đủ 2/3 thời gian đề thi. Cũng có ý kiến cho rằng, ảnh chụp nhiều khả năng là ở vị trí bàn giám thị.
Như vậy, liệu cán bộ coi thi, giám thị có vi phạm quy chế khi mang điện thoại hay thiết bị ghi hình vào phòng thi.
Thông tin về vấn đề này, đại diện Bộ Giáo dục và Đào tạo cho biết, Ban Chỉ đạo thi tốt nghiệp THPT năm 2023 cũng đã tiếp nhận được phản ánh về vấn đề này.
Bộ Giáo dục và Đào tạo đã chuyển thông tin cho Cục An ninh chính trị nội bộ, Bộ Công an vào cuộc xác minh. Nếu phát hiện trường hợp vi phạm sẽ xử lý nghiêm theo quy định.






