Theo đó, vào lúc 14 giờ 00 phút, ngày 21/9, tại hội trường UBND xã Nghĩa Sơn, huyện Nghĩa Hưng, tỉnh Nam Định sẽ tổ chức đấu giá quyền sử dụng đất 32 lô, tại Khu tái định cư và Dân cư tập trung thôn Đò Mười, xã Nghĩa Sơn, huyện Nghĩa Hưng.
Diện tích 32 lô đất đưa ra đấu giá từ 118,5m2 cho đến 149,5m2 với giá khởi điểm từ 13,7 triệu đồng/m2 - 22,407 triệu đồng/m2.
Vào lúc 15 giờ 30 phút, ngày 21/9, tại hội trường UBND xã Nghĩa Tân, huyện Nghĩa Hưng, sẽ tổ chức đấu giá 10 lô đất trong Khu Dân cư Tập trung và Khu đất xen kẹt xã Nghĩa Tân, huyện Nghĩa Hưng với diện tích khoảng 88m2 - 173m2, giá khởi điểm từ 5,9 triệu đồng/m2 - 22,950 triệu đồng/m2.
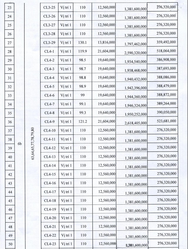
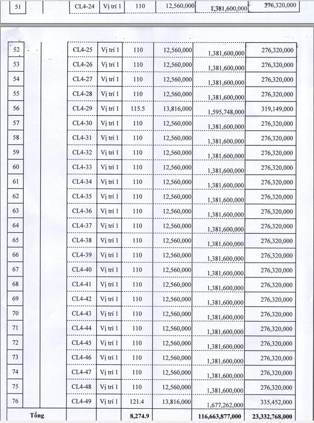
Vào lúc 14 giờ 00 phút, ngày 30/9, tại hội trường UBND xã Nghĩa Sơn, huyện Nghĩa Hưng sẽ tổ chức đấu giá quyền sử dụng đất 76 lô trong Khu Tái định cư và Dân cư tập trung thôn Bơn Ngạn, xã Nghĩa Sơn, huyện Nghĩa Hưng.
Các lô đất đấu giá có diện tích từ 98m2 -130m2, mức giá khởi điểm đưa ra từ 12,560 triệu đồng/m2 - 21,604 triệu đồng/m2.
Vào 15 giờ 30 phút, ngày 30/9, tại hội trường UBND xã Nghĩa Lạc, huyện Nghĩa Hưng sẽ tổ chức đấu giá 16 lô đất trong Khu Tái định cư và Dân cư tập trung xã Nghĩa Lạc, huyện Nghĩa Hưng cùng có diện tích 95m2, giá khởi điểm 15,070 triệu đồng/m2.
Trung tâm Dịch vụ đấu giá tài sản (Sở Tư pháp Nam Định) thông báo, các lô đất trên đều được đấu giá bằng hình thức bỏ phiếu trực tiếp, 01 vòng đối với từng lô đất tại cuộc đấu giá, theo phương thức trả giá lên.
Người tham gia đấu giá có thể mua một hoặc nhiều bộ hồ sơ đăng ký tham gia đấu giá; mỗi bộ hồ sơ đấu giá tương ứng với việc đăng ký tham gia 01 lô đất cụ thể.
Việc bỏ phiếu trả giá được tiến hành đồng loạt đối với tất cả các lô đất đủ điều kiện đưa ra đấu giá. Người tham gia đấu giá chỉ được trả giá đối với lô đất mình đã đăng ký, tương ứng với khoản tiền hồ sơ và tiền đặt trước đã nộp.
Người trúng đấu giá là người có phiếu trả giá hợp lệ và cao nhất (ít nhất bằng giá khởi điểm).
Chi tiết danh sách 134 lô đất tại huyện Nghĩa Hưng, Nam Định được đưa ra đấu giá:
![]() |
![]() |
| Danh sách 32 lô đất đấu giá tại Khu tái định cư và Dân cư tập trung thôn Đò Mười, xã Nghĩa Sơn, huyện Nghĩa Hưng. (Ảnh chụp màn hình). |
![]() |
| Danh sách 10 lô đất đấu giá tại Khu Dân cư Tập trung và Khu đất xen kẹt xã Nghĩa Tân, huyện Nghĩa Hưng. (Ảnh chụp màn hình) |
![]() |
![]() |
![]() |
| Danh mục 76 lô trong Khu Tái định cư và Dân cư tập trung thôn Bơn Ngạn, xã Nghĩa Sơn, huyện Nghĩa Hưng. (Ảnh chụp màn hình) |
![]() |
![]() |
| Danh sách 16 lô đất trong Khu Tái định cư và Dân cư tập trung xã Nghĩa Lạc, huyện Nghĩa Hưng. (Ảnh chụp màn hình) |













