Đề thi và đáp án môn Toán tuyển sinh vào lớp 10 THPT Hà Nội 2024
![]() |
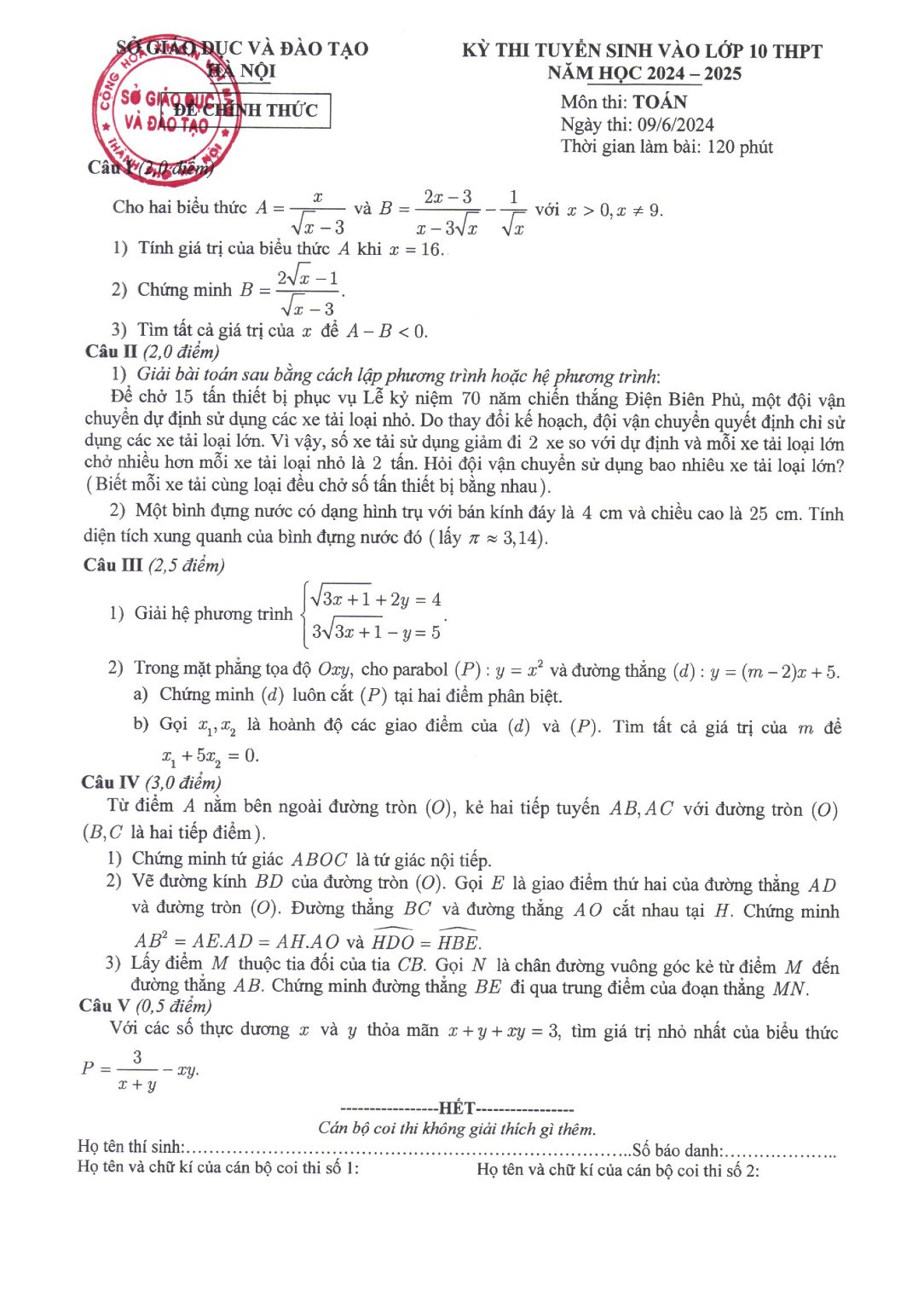
| Đề thi môn Toán |
![]() |
![]() |
| Đáp án môn Toán |
Đề thi và đáp án môn Ngữ văn tuyển sinh vào lớp 10 THPT Hà Nội 2024
![]() |
| Đề thi môn Ngữ Văn |
![]() |
| Đáp án môn Ngữ Văn |
Đề thi và đáp án môn Ngoại ngữ tuyển sinh vào lớp 10 THPT Hà Nội 2024
![]() |
![]() |
![]() |
| Đề thi môn Tiếng Anh |
![]() |
| Đáp án môn Tiếng Anh |
Điểm xét tuyển lớp 10 = (Điểm Toán + Điểm Văn) x 2 + Điểm Ngoại ngữ + Điểm ưu tiên.
Chậm nhất ngày 2/7, Sở Giáo dục và Đào tạo Hà Nội sẽ công bố điểm bài thi các môn của thí sinh. Ngay sau khi có điểm, thí sinh nếu băn khoăn về mức điểm các môn có thể làm đơn xin phúc khảo. Đơn phúc khảo nộp về Phòng Giáo dục và Đào tạo từ ngày 3 - 9/7.
Sau khi công bố điểm bài thi, Sở Giáo dục và Đào tạo Hà Nội sẽ tổ chức họp duyệt điểm chuẩn vào lớp 10 của từng trường công lập.
Ngày 5/7, Sở Giáo dục và Đào tạo Hà Nội họp xét duyệt điểm chuẩn vào lớp 10 trung học phổ thông công lập không chuyên và trường trung học phổ thông chuyên và công bố điểm chuẩn xét tuyển ngay sau đó.
Từ ngày 6 - 9/7, Sở Giáo dục và Đào tạo Hà Nội sẽ công bố điểm chuẩn vào lớp 10 tại các trường.
Từ ngày 10 - 12/7, thí sinh trúng tuyển xác nhận nhập học. Từ ngày 17/7, những trường chưa đủ chỉ tiêu tuyển bổ sung.
Cũng theo Sở Giáo dục và Đào tạo Hà Nội, từ ngày 19 - 22/7 thí sinh xác nhận nhập học bổ sung; ngày 28/7 thí sinh nhận kết quả phúc khảo tại Sở.
Từ ngày 28 - 30/7, các trường xử lý hồ sơ học sinh sau phúc khảo, thí sinh trúng tuyển xác nhận nhập học.
Từ ngày 1 - 9/8, các trường nộp danh sách học sinh trúng tuyển về Giáo dục và Đào tạo Hà Nội














