| Quy đổi điểm xét tuyển đại học năm 2025 có gì mới?Giải mã công thức quy đổi điểm xét tuyển đại học 2025Xét tuyển đại học: Đã có khung quy đổi điểm |
Đại học Quốc gia Hà Nội vừa có hướng dẫn thực hiện công tác tuyển sinh đại học chính quy năm 2025.
Năm 2025, đại học này tuyển sinh 21.125 chỉ tiêu đại học chính quy với hơn 150 ngành/chương trình đào tạo. Trong đó, có 11 chương trình đào tạo mới là các chương trình đào tạo được xây dựng theo hướng quốc tế hóa, nâng chuẩn đầu ra ngoại ngữ, giảng dạy một phần hoặc toàn phần bằng tiếng Anh và thực hiện kiểm định quốc tế, một số chương trình đào tạo về vi mạch bán dẫn.
Đại học Quốc gia Hà Nội sử dụng 3 phương thức tuyển sinh chính áp dụng trong tuyển sinh đại học chính quy năm 2025, bao gồm: Thí sinh thuộc đối tượng xét tuyển thẳng, ưu tiên xét tuyển theo Quy chế tuyển sinh của Bộ Giáo dục và Đào tạo và thí sinh thuộc đối tượng ưu tiên xét tuyển theo quy định của Đại học Quốc gia Hà Nội.
Thí sinh sử dụng kết quả kỳ thi tốt nghiệp trung học phổ thông năm 2025 đạt ngưỡng bảo đảm chất lượng đầu vào do Đại học Quốc gia Hà Nội quy định; thí sinh có kết quả thi đánh giá năng lực (HSA) học sinh trung học phổ thông do Đại học Quốc gia Hà Nội tổ chức đạt ngưỡng bảo đảm chất lượng đầu quy định (kết quả thi HSA được sử dụng trong vòng 2 năm kể từ ngày thi).
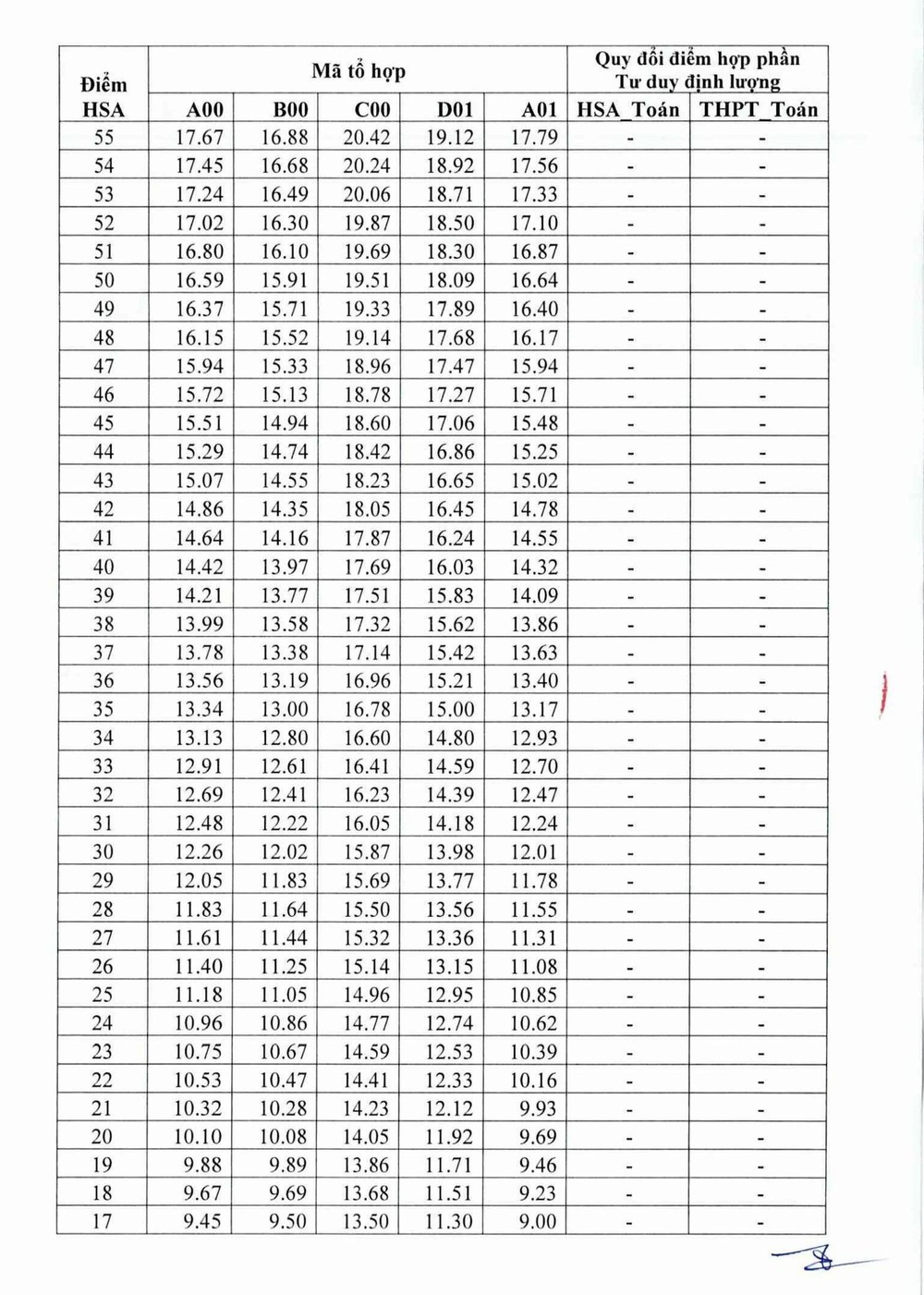
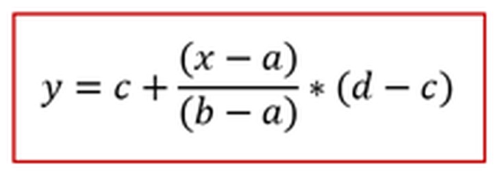
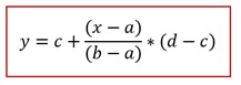
Do quy chế yêu cầu các phương thức xét tuyển phải quy về một thang điểm, để thí sinh có thể hình dung được việc quy đổi kết quả HSA sang điểm thi tốt nghiệp trung học phổ thông, Viện Đào tạo số và Khảo thí, Đại học Quốc gia Hà Nội đã xây dựng bảng quy đổi dựa trên dữ liệu điểm thi tốt nghiệp trung học phổ thông 2024 để thí sinh tham khảo.
Bảng quy đổi tham khảo cụ thể:
![]() |
![]() |
![]() |
Đây là bảng quy đổi dựa trên dữ liệu thi tốt nghiệp trung học phổ thông 2024. Vì vậy, khi có kết quả kỳ thi tốt nghiệp trung học phổ thông 2025, bảng quy đổi sẽ có sự điều chỉnh phù hợp với phổ điểm thực tế.
Ngoài ba phương thức trên, một số đơn vị có chương trình, ngành đào tạo đặc thù hoặc sử dụng đồng thời nhiều phương thức xét tuyển hoặc sử dụng các phương thức xét tuyển khác để xét tuyển cho một ngành hoặc nhóm ngành phải tự xác định quy tắc quy đổi về thang 30 điểm và công bố công khai quy tắc quy đổi, ngưỡng đầu vào và điểm trúng tuyển, điều kiện nhận hồ sơ đăng ký xét tuyển theo nguyên tắc, hướng dẫn của Bộ Giáo dục và Đào tạo.
Riêng đối với phương án xét tuyển kết hợp chứng chỉ ngoại ngữ quốc tế với kết quả học tập cấp trung học phổ thông, ngoài các điều kiện chung được quy định tại Quy chế tuyển sinh đại học chính quy của Đại học Quốc gia Hà Nội, đơn vị phải bổ sung điều kiện trúng tuyển thí sinh phải đạt tối thiểu 8 điểm môn Toán hoặc điểm 2 môn (Toán, Ngữ văn) đạt tối thiểu 15 trong kỳ thi tốt nghiệp trung học phổ thông năm 2025.
Các đơn vị đào tạo triển khai thực hiện cách thức quy đổi (nếu sử dụng các phương thức khác ngoài HSA của Đại học Quốc gia Hà Nội) theo Hướng dẫn của Bộ Giáo dục và Đào tạo và công bố rõ trong thông tin tuyển sinh của đơn vị, bảo đảm minh bạch, đúng quy chế, đồng thời tăng cường công tác truyền thông để thí sinh và xã hội biết, yên tâm đăng kí xét tuyển vào các ngành/chương trình đào tạo.
Các đơn vị công bố link tra cứu hoặc bảng quy đổi điểm trúng tuyển theo HSA về điểm trúng tuyển theo điểm thi tốt nghiệp trung học phổ thông năm 2024 để thí sinh tham khảo.
Đối với các chứng chỉ ngoại ngữ được quy định tại Quy chế thi tốt nghiệp trung học phổ thông của Bộ Giáo dục và Đào tạo, các đơn vị có thể quy đổi như một môn trong tổ hợp xét tuyển với trọng số tính điểm xét không vượt quá 50%.
Ngoài ra, các đơn vị có thể xem xét cộng điểm (điểm thưởng) với các tổ hợp xét tuyển không có môn ngoại ngữ cho các thí sinh có chứng chỉ tiếng Anh quốc tế IELTS đạt tối thiểu 5.5, TOEFL iBT đạt tối thiểu 72 điểm hoặc các chứng chỉ ngoại ngữ quốc tế khác được Bộ Giáo dục và Đào tạo chấp nhận, đạt trình độ tối thiểu bậc 4 theo Khung năng lực ngoại ngữ 6 bậc dành cho Việt Nam, mức điểm thưởng cụ thể như sau: Bậc 6 cộng tối đa 2,0 điểm; bậc 5 cộng tối đa 1,5 điểm; bậc 4 cộng tối đa 1,0 điểm.
Đối với các đơn vị không xét tuyển độc lập bằng kết quả các kì thi SAT, ACT hoặc chứng chỉ A-Level, có thể xem xét cộng điểm cho thí sinh đạt kết quả cao trong các kỳ thi SAT, ACT hoặc A-Level với mức điểm cộng không quá 2 điểm (khoảng cách giữa các thang điểm là 0,5).
Đại học Bách khoa Hà Nội
Trước đó, Đại học Bách khoa Hà Nội cũng công bố phương án quy đổi mức điểm chuẩn tương đương giữa 3 phương thức: xét tuyển tài năng, xét điểm đánh giá tư duy (TSA) và xét điểm tốt nghiệp trung học phổ thông.
Đại học Bách khoa Hà Nội đã áp dụng phương pháp bách phân vị (Percentile Equating) để tìm ra các mức điểm chuẩn tương đương giữa 3 phương thức.
Theo đó, trường đã tiến hành thống kê, phân tích dữ liệu tuyển sinh của 3 năm trở lại đây, các tổ hợp xét tuyển khác nhau, phân tích phổ điểm xét tuyển tài năng theo các diện, phổ điểm bài thi TSA, phổ điểm thi tốt nghiệp trung học phổ thông với tổ hợp gốc là A00 (toán, lý, hóa) để làm căn cứ xác định khoảng phân vị tương quan.
Trên cơ sở đó tổ chuyên gia đã xây dựng bảng phân vị tương quan giữa các phương thức tuyển sinh đại học của Đại học Bách khoa Hà Nội.
Top % điểm thi tốt nghiệp trung học phổ thông được tính trên tổng điểm của tổ hợp xét tuyển gốc là A00 (toán, lý, hóa) đối với các thí sinh có điểm từ mức điểm sàn đến mức cao nhất (30 điểm).
Top % điểm xét tuyển tài năng được tính trên tổng số thí sinh có điểm theo phương thức xét tuyển tài năng từ mức điểm sàn đến mức cao nhất (100 điểm).
Top % điểm đánh giá tư duy TSA được tính trên tổng số thí sinh có điểm TSA từ mức điểm sàn đến mức cao nhất (100 điểm).
Bảng phân vị tương quan mức điểm chuẩn giữa các phương thức tuyển sinh của Đại học Bách khoa Hà Nội như sau:
![]() |
Các giá trị khoảng phân vị cụ thể của bảng trên sẽ được tính toán dựa theo điểm xét tuyển tài năng, điểm thi đánh giá tư duy TSA, điểm thi tốt nghiệp trung học phổ thông năm 2025 và kết quả học tập của sinh viên trúng tuyển theo các phương thức tuyển sinh tương ứng.
Đối với các tổ hợp điểm thi tốt nghiệp trung học phổ thông khác ngoài tổ hợp gốc A00 trên cũng sẽ được Đại học Bách khoa Hà Nội tính toán dựa theo các mức điểm chênh tương ứng do Bộ Giáo dục và Đào tạo công bố cùng điểm thi tốt nghiệp trung học phổ thông.
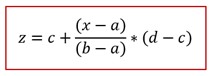
Từ bảng phân vị tương quan với các giá trị khoảng điểm phân vị cụ thể sẽ thực hiện nội suy hàm quy đổi mức điểm chuẩn giữa các phương thức tuyển sinh khác nhau.
Theo đó, từ mức điểm chuẩn thuộc khoảng phân vị của phương thức tuyển sinh này sẽ được nội suy tương đương sang mức điểm chuẩn thuộc khoảng phân vị tương ứng với phương thức tuyển sinh khác theo công thức như sau:
![]() |
Dựa trên những dữ liệu tuyển sinh năm 2024 và kết quả học tập sinh viên, Đại học Bách khoa Hà Nội xây dựng bảng phân vị tương quan mức điểm chuẩn giữa các phương thức tuyển sinh của Đại học Bách khoa Hà Nội được xác định cụ thể như sau:
![]() |
Ví dụ trong năm 2024, điểm chuẩn (điểm trúng tuyển) của ngành/chương trình MS2 - Kỹ thuật vi điện tử và công nghệ nano của Đại học Bách khoa Hà Nội theo phương thức đánh giá tư duy là 71.68 điểm (x = 71.68).
Như vậy mức điểm chuẩn này sẽ thuộc khoảng phân vị 3 (khoảng 3), có giá trị điểm đánh giá tư duy từ (68.55 - 74.77). Khi đó điểm chuẩn tương đương đối với điểm thi tốt nghiệp trung học phổ thông sẽ thuộc khoảng phân vị tương ứng (khoảng 3) có giá trị điểm thi tốt nghiệp trung học phổ thông từ (27.14 - 28.04). Từ đó xác định các hệ số quy đổi tương ứng sẽ là:
a = 68.55; b = 74.77; c = 27.14; d = 28.04
Áp dụng công thức nội suy tính điểm chuẩn tương đương đối với điểm thi tốt nghiệp trung học phổ thông y từ điểm chuẩn đánh giá tư duy x = 71.68 sẽ được tính như sau:
![]() |
![]() |
Tương tự, tính điểm chuẩn tương đương đối với điểm xét tuyển tài năng diện 1.3 cho chương trình MS2 sẽ thuộc khoảng phân vị tương ứng (khoảng 3) có giá trị điểm xét tuyển tài năng từ (73.87 - 87.20). Khi đó các hệ số quy đổi tương ứng sẽ là:
a = 68.55; b = 74.77; c = 73.87; d = 87.20
Áp dụng công thức nội suy tính điểm chuẩn tương đương đối với điểm xét tuyển tài năng diện 1.3 z từ điểm chuẩn đánh giá tư duy x = 71.68 sẽ được tính như sau:
![]() |
![]() |
Thí sinh thấp thỏm với công thức quy đổi điểm xét đại học
Dù đã biết điểm đánh giá năng lực, nhưng nhiều học sinh vẫn đang thấp thỏm bởi mỗi trường lại có công thức quy đổi điểm riêng về thang 30, nên các em chưa biết quy đổi điểm như thế nào.
Hồng Minh, học sinh lớp 12, Trường Trung học phổ thông Nguyễn Hữu Huân, TP. Hồ Chí Minh đạt 760/1200 điểm đánh giá năng lực. Em dự định dùng điểm thi này để đăng ký vào Trường Đại học Nông lâm TP. Hồ Chí Minh. Dù chưa chốt ngành, song nam sinh này nghiêng về hai nhóm Khoa học sự sống, Công nghệ thực phẩm. Năm ngoái, điểm chuẩn đánh giá năng lực của hai nhóm này khoảng 710 - 750.
“So với năm ngoái, em đáng ra có thể an tâm và bớt áp lực trước kỳ thi tốt nghiệp, nhưng đến giờ mọi thứ vẫn mù mờ”, Minh nói.
Theo quy chế của Bộ Giáo dục và Đào tạo, điểm xét tuyển của các kỳ thi, phương thức phải được quy đổi về một thang chung. Hầu hết trường chọn thang 30. Dựa trên hướng dẫn và dữ liệu Bộ cung cấp, các trường xây dựng công thức quy đổi.
Điều này có nghĩa, điểm 760 của Minh sẽ được quy đổi về thang 30, nhưng cụ thể bằng bao nhiêu thì tùy trường. Tới cuối tháng 5, Trường Đại học Nông lâm TP. Hồ Chí Minh chưa công bố công thức.
Minh tìm thử công thức của một vài trường khác và dành một buổi để đọc hướng dẫn của Bộ, nhưng vẫn rối. “Em rất mông lung, không biết mình đang ở nhóm nào, mức nào”, Minh chia sẻ.
Giải thích về cách quy đổi điểm xét tuyển đại học năm 2025, ông Nguyễn Anh Dũng, Phó vụ trưởng Vụ Giáo dục đại học, Bộ Giáo dục và Đào tạo cho biết, khung quy đổi do Bộ đưa ra là để hướng dẫn, hỗ trợ các cơ sở đào tạo xây dựng quy tắc quy đổi của mình một cách thuận tiện, phù hợp với đặc điểm của ngành đào tạo, đồng thời bảo đảm cách tiếp cận thống nhất trong hệ thống, chứ không phải để hướng dẫn thí sinh tự quy đổi điểm của mình.
Theo ông Dũng, các cơ sở đào tạo khác nhau sẽ có yêu cầu khác nhau đối với kiến thức nền tảng, cốt lõi của ngành học. Ngoài ra, các cơ sở đào tạo khác nhau có thể có nguồn tuyển khác nhau. Do vậy, có thể cơ sở đào tạo này đánh giá cao, hoặc đưa ra yêu cầu cao hơn đối với một loại điểm so với cơ sở đào tạo khác.
Lưu ý, công bằng trong xét tuyển là việc các thí sinh dự tuyển vào cùng một ngành, nhóm ngành của một cơ sở đào tạo được đối xử công bằng. Trong đó, có bảo đảm điểm trúng tuyển giữa các phương thức khác nhau là tương đương, không liên quan tới việc quy đổi điểm khác nhau giữa các trường.
| Kỳ thi tốt nghiệp trung học phổ thông năm 2025 được tổ chức vào các ngày 25, 26, 27, 28/6/2025. Trong đó: Ngày 25/6/2025 làm thủ tục dự thi; ngày 26, 27/6/2025 tổ chức coi thi; ngày 28/6/2025 dự phòng. |














