Tổng số xe được đưa ra đấu giá là của Trung tâm Thương mại và Dịch vụ - Chi nhánh Tổng Công ty Vận tải Hà Nội (Transerco) là 48 xe, tình trạng xe đã cũ, để lâu không sử dụng, một số chi tiết đã hỏng, biến dạng, không kiểm tra được tình trạng hoạt động của xe.
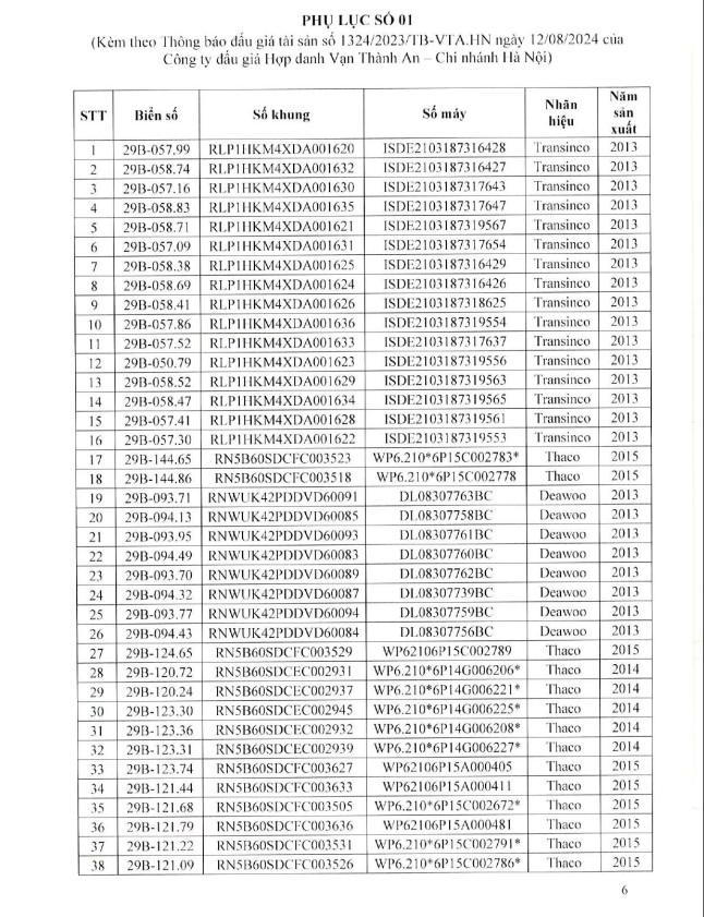
Trong số 48 xe ô tô cũ đấu giá có 4 xe sản xuất năm 2003, 24 xe sản xuất năm 2013, 9 xe sản xuất năm 2014, 11 xe sản xuất năm 2015. Các xe này đến từ các thương hiệu như Deawoo, Thaco, Transinco.
Tài sản được bán đấu giá nguyên lô và bàn giao cho người trúng đấu giá theo hiện trạng thực tế và theo phương thức “có sao bán vậy”. Khách hàng trước khi đăng ký tham gia đấu giá tự tìm hiểu về hiện trạng, tình trạng, chất lượng tài sản đấu giá.
![]() |
![]() |
| Sắp đấu giá lô 48 xe ô tô cũ của Transerco. |
Thời gian bán hồ sơ tham gia đấu giá và xem giấy tờ sở hữu tài sản từ 13/08/2024 đến 26/08/2024 (trong giờ hành chính), tại Trụ sở Công ty Đấu giá hợp danh Vạn Thành An, địa chỉ số 03 Lý Văn Phức, P. Tân Định, Quận I, TP. Hồ Chí Minh hoặc tại Trụ sở Công ty Đấu giá hợp danh Vạn Thành An - Chi nhánh Hà Nội, địa chỉ số nhà B5 Nơ5 (nay là số nhà B5 Lô 5) Khu đô thị mới Định Công, phường Định Công, quận Hoàng Mai, TP. Hà Nội.
Thời gian xem tài sản từ 22/08/2024 đến 26/08/2024 (trong giờ hành chính) tại Trạm trung tâm chuyển đa phương thức, điểm đỗ xe công cộng và điểm đầu cuối xe buýt, phường Minh Khai, quận Bắc Từ Liêm, Hà Nội.
Việc đấu giá lô 48 xe ô tô này bằng hình thức bỏ phiếu gián tiếp, theo phương thức trả giá lên, trả giá cho từng xe ô tô. Người trúng đấu giá là người có tổng giá cao nhất cho cả lô xe.
Giá khởi điểm của lô 48 xe ô tô này được đưa ra là hơn 6 tỷ đồng. Giá này chưa bao gồm thuế giá trị gia tăng. Người trúng đấu giá có trách nhiệm nộp thuế giá trị gia tăng (nếu có) và có trách nhiệm nộp tất cả các loại thuế, phí, lệ phí khác liên quan đến việc sang tên, chuyển nhượng đối với tài sản đấu giá, kể cả các nghĩa vụ tài chính phải thanh toán cho nhà nước.
Thời gian tổ chức đấu giá vào lúc 10 giờ 00 phút, ngày 29/08/2024 tại Công ty Đấu giá hợp danh Vạn Thành An - Chi nhánh Hà Nội, địa chỉ số nhà B5 Nơ 5 (nay là số nhà B5 Lô 5) Khu đô thị mới Định Công, phường Định Công, quận Hoàng Mai, TP. Hà Nội.







