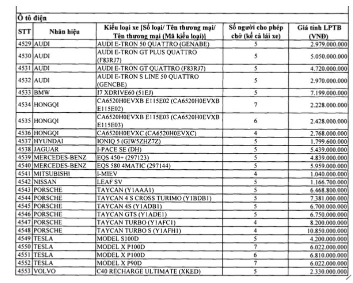
Mới đây, Bộ Tài chính đã ban hành Quyết định số 2353/QĐ-BTC ngày 31/10/2023 quy định Bảng giá tính lệ phí trước bạ ô tô điện chở người từ 9 người trở xuống nhập khẩu.
Quyết định 2353/QĐ-BTC có hiệu lực từ ngày 06/11/2023.
Bảng giá tính lệ phí trước bạ ô tô điện 9 chỗ trở xuống nhập khẩu
![]() |





